详情

剑麻纳米纤维素微晶阻燃锂离子电池隔膜的制备及其性能研究

申报人:张芮宁 申报日期:2025-01-02

基本情况

2025年批次
剑麻纳米纤维素微晶阻燃锂离子电池隔膜的制备及其性能研究 学生申报
创新训练项目
工学
材料类
学生来源于教师科研项目选题
一年期
本项目以生物质纤维(剑麻)为原料,采用碱煮和漂白法提取出剑麻纤维素,再通过分子侧链接枝羧基基团单元,制备出具有优异成膜性的剑麻纤维素纳米微晶。先后使用两步工艺,刮涂成膜技术和自组装交联法,进而构筑出基于剑麻纤维素纳米微晶膜的阻燃剑麻纤维素纳米微晶锂离子电池隔膜,并应用于锂离子电池。
1、2025-2027 国家自然科学基金青年科学基金“生物基三维网络低温自修复/阻燃水凝胶电解质合成及其稳定柔性超级电容器机制研究” 22405179(30万)主持 (在研)。
2、2022-2024 博士后科学基金项目“多功能耐酸/碱阻燃剑麻纤维素纳米微晶锂离子电池隔膜的制备及其性能研究”2022M722171 (8万)主持 (结题)。
此项目为指导教师项目的子项目及其延申,指导教师完全支持此项目。
区级

项目成员

序号 学生 所属学院 专业 年级 项目中的分工 成员类型
张芮宁 材料科学与工程学院 材料科学与工程 2023 项目进度;材料制备;测试分析;项目结题
陈娘 材料科学与工程学院 材料科学与工程 2023 材料制备
梁燕坤 材料科学与工程学院 材料科学与工程 2023 材料制备
黄楚桃 材料科学与工程学院 无机非金属材料工程(实验班) 2023 测试分析

指导教师

序号 教师姓名 所属学院 是否企业导师 教师类型
张作才 材料科学与工程学院
陆绍荣 材料科学与工程学院

立项依据

近年来,国务院、国家发展改革委和国家能源局等部门联合发布了《“十四五”新型储能发展实施方案》和《节能与新能源汽车技术路线2.0》,将突破新能源汽车高安全动力电池关键技术作为一个重要的攻关方向。方案指出新型储能是构建新型电力系统的重要技术和基础装备,是实现碳达峰碳中和目标的重要支撑,也是催生国内能源新业态、抢占国际战略新高地的重要领域。随着电动汽车、储能设备和可穿戴电子设备的迅猛发展,人们对电池的安全和性能要求越来越高[1]。锂离子电池因其具有能量密度高、工作电压高、循环寿命长、自放电小和无记忆效应等诸多优点,成为当今动力电池研究的热点[2]。近年来,新能源汽车因电池起火的事故正在逐年攀升。隔膜作为锂离子电池的关键组成部分,很大程度上决定了锂离子电池的安全和性能[2, 3]。
本项目以广西特色资源剑麻为原料,提取剑麻纳米纤维素微晶,再经交联处理制备阻燃锂离子电池隔膜。以提高锂离子电池热失控火灾安全为目的。

2.1 研究对象
2.1.1 剑麻纤维表面处理、纤维素纳米微晶的制备及表征(基础,部分已完成)
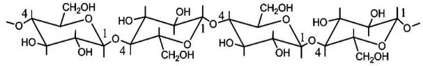
剑麻纤维素纳米微晶的强度主要是由纤维素提供,纤维素是D-吡喃葡萄糖酐彼此以β-1,4苷键连接而成多糖的线形高分子,其分子结构式如图1所示:
summernote-img
图1. 剑麻纤维素的分子结构式
从上述分子结构式看,剑麻纤维表面大分子上每一个重复单元的吡喃环内含有3个羟基,它们相互间形成分子内或分子间氢键,使其具有亲水性。采取一定的物理化学手段对剑麻纤维进行表面改性处理,去除纤维素中部分木质素、半纤维素和果胶等低分子杂质,减小微纤旋转角,提高纤维的分子取向和断裂强度。表面处理后的剑麻纤维经一定浓度酸处理后可制得高性能剑麻纤维素纳米微晶。采用红外光谱(FT-IR)、X射线衍射(XRD)、差示扫描量热法(DSC)、原子力显微镜(AFM)、偏光显微镜(POM)、热重分析(TGA)、透射电镜(TEM)及扫描电镜(SEM)等手段对其结构表征。
2.1.2 阻燃剑麻纤维素纳米微晶隔膜的分子结构设计及表征(核心)
对剑麻纤维素纳米微晶隔膜进行分子结构设计,采用两种不同类型的交联剂和螯合剂自组装剑麻纤维素纳米微晶隔膜。利用剑麻纤维素纳米微晶分子上的活性官能团作为锚固点,通过与交联自组装过程中加入的生物质交联剂发生酯化反应和螯合剂的螯合作用,提高剑麻纤维素纳米微晶隔膜的阻燃性。
(i)系统研究生物质交联剂(柠檬酸、酒石酸、苹果酸)对剑麻纤维素纳米微晶隔膜的形貌、孔隙尺寸、表面基团、结晶度、力学性能、热稳定性及阻燃性能的影响;筛选带有不同极性基团的生物质交联剂,详细研究反应温度、反应时间、生物质交联剂/生物质纤维比等因素与所得剑麻纤维素纳米微晶隔膜的形貌、孔隙尺寸、表面基团、结晶度、热稳定性及阻燃性能之间的关系。
(ii)实验上探索隔膜的表/界面对锂离子传输能力的影响,在不破坏隔膜的厚度、孔径以及孔隙率等微观结构的情况下,在隔膜的表面及孔道内部均匀地引入羧基基团。羧基通过去溶剂化效应提升锂离子的传递速率,并利用氢键抑制阴离子的运动,在两种效应共同作用下实现锂离子迁移数大幅提升。基于上述机理建立锂离子在羧基化表面的传递模型。
(iii)采用 FT-IR、XRD、XPS、DSC、TGA、TEM、SEM、LOI、UL-94垂直燃烧仪、锥形量热仪和电化学工作站等对剑麻纤维素纳米微晶隔膜的物理化学特性、耐酸/碱性、阻燃性、表观形貌、孔径分布、拉伸强度、热稳定性、电解液亲润性、离子电导率、界面阻抗、电化学稳定窗口,以及相应锂离子电池的循环稳定性和倍率性能进行表征分析。
目前锂离子电池中使用的隔膜主要是聚烯烃类,包括单层的聚丙烯(PP)、聚乙烯(PE)以及复合的 PP/PE/PP 隔膜等[4-6]。但聚烯烃隔膜存在表面疏水性、热稳定性差和易燃的弊端,严重影响锂离子电池的安全和性能[3, 7]。另外从发展趋势来看,传统聚烯烃隔膜,来源于石油基原料,不可再生、不可降解、不符合环境友好与持续发展的大趋势[8]。因此,越来越多新的材料被尝试用于锂离子电池隔膜[9]。生物质原料,特别是纤维素原料,储量丰富、可再生、可降解、容易获得和价格合适,是代替石油基原料的最佳选择[10]。纤维素是世界上存量最大的天然生物质原料,全世界每年的产量在 1010-1011吨,除主要来源于木材外,也来源于其它植物如棉、麻、海洋藻类和菌类[10]。纤维素不仅提取加工过程简单成熟,更重要的,纤维素材料有良好的物化性能、生物相容性、无毒性、轻质性、可循环性、环境友好等,特别是优良的表面亲液性和热稳定性,使其受到众多关注,是代替传统聚烯烃隔膜的最佳候选[11]。例如,Sheng等采用简单的乙醇浸泡工艺制备超轻和超薄纤维素纳米纤维膜。所获得的隔膜的重量和厚度仅为传统聚烯烃膜的一半[1];Wu 等人提出了一种Cu2+交联壳聚糖(壳聚糖-铜)材料作为稳定和高性能的离子交换膜[12];Zhang等使用北方漂白软木牛皮纸(NBSK)纤维,聚磺酰胺(PSA)纤维和纳米纤维素(NFC)通过湿法制备用于锂离子电池的耐热复合膜[13]。
然而,目前所报道的大多数纤维素隔膜耐酸/碱性差、强度低或易燃[2];大多数研究仅使用棉浆纤维作为原料,原料单一且纤维强度低[14];纳米纤维素仅作为增强或辅助材料改善聚烯烃类隔膜[15]。因此,提出一种简单有效的方法来制备兼具轻薄、耐酸/碱、高阻燃、优异耐久和高强度的纤维素隔膜,对促进纤维素材料在锂离子电池隔膜中的应用,以及能源行业和环保事业的发展都具有重要意义。
参考文献:
[1] Sheng, J., et al., Ultra-light cellulose nanofibril membrane for lithium-ion batteries. Journal of Membrane Science, 2020, 595, e117550.
[2] Chen, Y., et al., Electrospun cellulose polymer nanofiber membrane with flame resistance properties for lithium-ion batteries. Carbohydr Polym, 2020, 234, e115907.
[3] Zhang, T.-W., et al., Recent advances on biopolymer fiber based membranes for lithium-ion battery separators. Composites Communications, 2019, 14, 7-14.
[4] Dong, T., et al., Membranes Made from Electrospun Polyacrylonitrile Nonwoven Fibers with Uniform Diameter for Lithium-Ion Battery Separators. Fibers and Polymers, 2020, 21, 2204-2214.
[5] Zhu, T.M., et al., Low-Cost and Heat-Resistant Poly(catechol/polyamine)-Silica Composite Membrane for High-Performance Lithium-Ion Batteries. Chemelectrochem, 2021, 8, 1369-1376.
[6] Wang, X., et al., Polyethylene porous microsphere coated coaxial fiber composite membrane for high safety lithium-ion battery. Journal of Applied Polymer Science, 2022, 139, e52184.
[7] Wang, Y., et al., Effect of fibrillated fiber morphology on properties of paper-based separators for lithium-ion battery applications. Journal of Power Sources, 2021, 482, e228899.
[8] Liu, Y.Z., et al., Fiber-supported alumina separator for achieving high rate of high-temperature lithium-ion batteries. Journal of Power Sources, 2020, 477, e228680.
[9] Zhao, Z., et al., Aluminum silicate fiber membrane: A cost-effective substitute for fiber glass separator in Li-O-2 battery. Materials Today Energy, 2020, 17, e100485.
[10] Tan, L., et al., Preparation and Properties of an Alginate-Based Fiber Separator for Lithium-Ion Batteries. ACS Appl Mater Interfaces, 2020, 12, 175-182.
[11] Kim, J.H., et al., Nanocellulose for Energy Storage Systems: Beyond the Limits of Synthetic Materials. Adv Mater, 2019, 31, e1804826.
[12] Wu, M., et al., A high-performance hydroxide exchange membrane enabled by Cu(2+)-crosslinked chitosan. Nat Nanotechnol, 2022, 17, 629-636.
[13] Zhang, H., et al., Nanofibrillated Cellulose (NFC) as a Pore Size Mediator in the Preparation of Thermally Resistant Separators for Lithium Ion Batteries. Acs Sustainable Chemistry & Engineering, 2018, 6, 38-44.
[14] Zhang, T.W., et al., Recent advances on biopolymer fiber based membranes for lithium-ion battery separators. Composites Communications, 2019, 14, 7-14.
[15] Jiang, L.Q., et al., Modified polypropylene/cotton fiber composite nonwoven as lithium-ion battery separator. Materials Chemistry and Physics, 2018, 219, 368-375.
4.1项目特色
本项目着眼于锂离子电池安全问题,并结合广西地方资源的合理利用及资源节约的实际需求,聚焦环境友好型新材料开发及合成工艺设计。以废剑麻渣为原料制备剑麻纤维素纳米微晶,通过对其表面的接枝改性,并采用自组装反应法,利用螯合剂的螯合作用以及交联剂的交联作用,提高纤维素分子界面间的结合强度,实现剑麻纤维素纳米微晶/螯合剂/交联剂三者在分子水平上的有效复合,构筑锂离子传输通道,达到制备高性能阻燃剑麻纤维素纳米微晶锂离子电池隔膜的目的。
4.2 项目的创新
(1)研究机理方面:提出剑麻纤维素纳米微晶膜分子结构设计及组装技术。通过对界面结构和制备工艺的优化与控制,解决剑麻纤维素纳米微晶膜阻燃等关键制备技术,揭示材料微观结构与性能之间的关系规律,建立相应的界面微结构理论模型,实现高性能阻燃剑麻纤维素纳米微晶锂离子电池隔膜的可控制备。
(2)技术指导方面:基于生物质植酸、三聚氰胺和Cu2+优异的阻燃性和螯合性及生物质交联剂(柠檬酸、苹果酸、酒石酸)交联后的耐酸/碱性,调控纤维素分子间的结构,并构筑离子传输通道。这是申请者提出的一种新型的、安全的、高性能阻燃剑麻纤维素纳米微晶锂离子电池隔膜的技术解决方案。对于制备国家需求的新型安全、环保、高性能、多功能锂离子电池隔膜具有重要的理论指导意义。
(3)社会经济效益方面:剑麻生物质纤维原料及其废料在纺织与加工行业中产量巨大,而剑麻纤维素相比传统纤维素(棉花纤维、竹纤维、藻类纤维、细菌纤维)具有更好的力学性能和耐腐蚀性能。从环保和效益角度考虑,本项目开发出生物质剑麻纤维素纳米微晶与复合调控体系具有重大经济与社会效益,为广西新型农业与剑麻加工产业的可持续发展具有重要的参考价值,为资源化利用剑麻纤维制备高附加值可再生纤维素纳米微晶新材料开辟了一条崭新的途径。
一、技术路线
针对剑麻纤维素纳米微晶膜的耐酸、耐碱、阻燃及锂离子传输通道等的关键科学问题,结合已有研究基础,设计、构建与制备多种新型阻燃的剑麻纤维素纳米微晶锂电池隔膜材料。系统深入研究对材料性能起关键作用的交联网络、表/界面结构与特性的内在联系,进而揭示材料的多尺度微观结构与性能之间的本质关系。从分子水平上深入理解交联剂、螯合剂对剑麻纤维素纳米微晶隔膜中的分子界面反应机理,实现剑麻纤维素纳米微晶隔膜材料的多功能化、高性能和可控制备。拟采用的技术路线如图2所示:
summernote-img
图2. 拟采用的技术路线图
5.1.1 高质量剑麻纤维纳米微晶纤维素的制备及表征
以废剑麻渣为原料,先通过一定浓度碱处理,除去部分木质素、半纤维素和果胶等低分子杂质,再经亚氯酸钠处理等工艺,制得结构疏松的剑麻纤维素微晶。然后,采用氯乙酸接枝、砂磨、离心及冷冻干燥等工序制备剑麻纤维素纳米微晶。探讨碱浓度、接枝时间、处理温度及砂磨时间等参数对纤维素纳米微晶形貌及长度的影响,优化制备条件,尽可能制备出具有较大长径比(L/D)、羧基化接枝率高及力学、耐热性能优异的剑麻纤维素纳米微晶。采用FT-IR、XRD、DSC、AFM、POM及SEM等测试手段,对剑麻纤维素纳米微晶的结构和形态进行表征。
5.1.2 耐酸、耐碱剑麻纤维素纳米微晶隔膜的分子设计、合成及表征
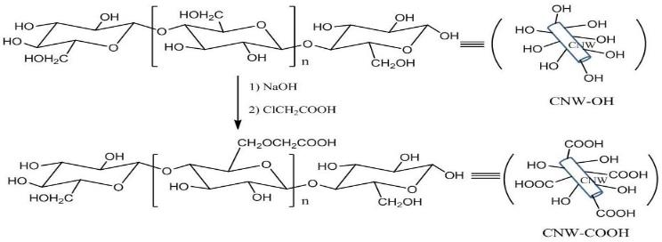
本部分是以剑麻纤维素纳米微晶(以下简称为CNW-OH)为原料,通过对其表面进行羧基化处理,在氢氧化钠和氯乙酸的作用下合成含有羧基的剑麻纤维素纳米微晶(以下简称为CNW-COOH),采用FT-IR、XRD、DSC、AFM、POM及SEM对其分子结构和形态进行表征。合成路线如图3所示:
summernote-img
图3. 剑麻纤维素纳米微晶的羧基化合成路线
为了解决剑麻纤维素纳米微晶隔膜在酸/碱性电解质中易解离问题,本项目拟采用酯化交联网络和螯合配位稳定机制。在水溶剂中通过刮涂的方法制备剑麻纤维素纳米微晶膜。以上述制得的剑麻纤维素纳米微晶膜为基底,通过层层自组装方法,先在剑麻纤维素纳米微晶膜上螯合配位,再交联生物质交联剂,使剑麻纤维素纳米微晶隔膜中纤维素分子之间产生稳定的交联网络,从而达到耐酸、耐碱的目的。其机理模型如图4所示:
summernote-img
图4. 剑麻纤维素纳米微晶隔膜中螯合/交联网络
5.1.2.1 剑麻纤维素纳米微晶膜的自组装螯合
本部分主要采用“自组装螯合”的方法,在剑麻纤维素纳米微晶分子之间构筑配位键,具体描述如下:
1)氨基接枝及Cu2+螯合剑麻纤维素纳米微晶膜的制备
以羧基化剑麻纤维素纳米微晶(CNW-COOH)为原料,在超声波作用下将一定量的CNW-COOH分散到去离子水中,采用“刮涂干燥”方法制备CNW-COOH膜;然后,将CNW-COOH膜在95 ℃三聚氰胺水溶液中进行自组装制得剑麻纤维素氨基纳米微晶膜(称CNW-N膜);最后进行Cu2+离子螯合制得剑麻纤维素纳米微晶螯合膜(称CNW-N-Cu2+膜)。通过层层自组装的调控,实现CNW-N-Cu2+膜的可控合成。合成路线如图5所示,CNW-N- Cu2+膜内部分布着Cu2+螯合所形成的离子传输通道。
summernote-img
图5. CNW-N-Cu2+膜的制备路线
2)氮/磷剑麻纤维素纳米微晶膜的制备
以CNW-N膜为原料,先将CNW-N膜浸在95 ℃植酸水溶液中反应10 min,然后60 ℃干燥。通过对CNW-N膜的交联反应,合成氮/磷剑麻纤维素纳米微晶膜(称CNW-N-P膜),合成路线如图6所示:
summernote-img
图6. CNW-N-P膜的合成路线
3)植酸/Cu2+螯合剑麻纤维素纳米微晶膜的合成
以CNW-COOH膜为原料,先将CNW-COOH膜浸在95 ℃植酸水溶液中反应10 min,然后60 ℃干燥制得植酸交联的剑麻纤维素纳米微晶膜(称CNW-COOH-P膜)。然后利用Cu2+对CNW-COOH-P膜的螯合反应,合成植酸/Cu2+螯合剑麻纤维素纳米微晶膜(称CNW-COOH-P-Cu2+膜),合成路线如图7所示:
summernote-img
图7. CNW-COOH-P-Cu2+膜的合成路线
5.1.2.2 阻燃剑麻纤维素纳米微晶锂离子电池隔膜的合成
以上述(图5)合成的CNW-N-Cu2+膜为原料,以不同生物质柠檬酸(CA)或苹果酸(MA)或酒石酸(TA)为交联剂,以去离子水为溶剂,分别将CNW-N-Cu2+膜浸泡在25 ℃的三种生物质交联剂中5 min。再60 ℃干燥后,制得阻燃剑麻纤维素纳米微晶锂离子电池隔膜(称CNW-N-Cu2+-CL膜);采用相同方法和条件分别对上述(图6,图7)合成的CNW−N-P膜和CNW-COOH-P-Cu2+膜进行交联(称CNW-N-P-CL膜、CNW-COOH-P-Cu2+-CL膜)。合成路线如图8a-c所示:
summernote-img
图8. 耐酸、耐碱阻燃剑麻纤维素纳米微晶锂离子电池隔膜的合成路线
(a)CNW-N-Cu2+-CL膜 (b)CNW-N-P-CL膜 (c)CNW-COOH-P-Cu2+-CL膜
对上述所合成的不同剑麻纤维素纳米微晶锂离子电池隔膜,拟采用FT-IR、XRD、XPS、DSC、TGA、TEM、SEM、LOI、UL-94垂直燃烧仪、锥形量热仪、电化学工作站等进行表征。同时,采用过量去离子水对交联/螯合纤维素纳米微晶隔膜进行反复洗涤,除去未反应的交联剂和螯合剂。通过XRD、XPS、SEM等研究接枝前后纳米微晶结构的变化情况,以及螯合前后和交联前后剑麻纤维素纳米微晶隔膜的内部结构,利用LOI、UL-94垂直燃烧仪、锥形量热仪等对剑麻纤维素纳米微晶隔膜阻燃性能进行表征。采用不同pH值和不同溶度的酸、碱溶液测试其耐酸、耐碱的变化情况,并且确定具有较好锂离子传输性能的耐酸、耐碱阻燃剑麻纤维素纳米微晶锂离子电池隔膜制备的技术参数。同时,利用所建立的模型对剑麻纤维素纳米微晶隔膜的表观形貌、孔径分布、拉伸强度、热稳定性、电解液亲润性、离子电导率、界面阻抗、电化学稳定窗口,以及相应锂离子电池的循环稳定性和倍率性能进行详细的分析验证。
二、拟解决的问题
(1)以剑麻纤维素纳米微晶为骨架,通过“交联酯化法” 巧妙设计剑麻纤维素纳米微晶表面基团,实现剑麻纤维素纳米微晶隔膜中交联网络结构与酸/碱性电解液的稳定,是本项目拟解决的关键技术之一。
(2)交联网络结构及螯合剂在剑麻纤维素纳米微晶隔膜中的高度分散性和相互作用机制及协同阻燃机制,如何利用交联网络结构与螯合剂构筑锂离子传输通道和其锂离子传输通道结构的精准调控及其内在机制,是本项目拟解决的另一关键技术。
三、预期成果
(1) 发展一至两种高性能、多功能耐酸/碱阻燃剑麻纤维素纳米微晶锂离子电池隔膜材料制备的新技术。实现安全、高性能、多功能纤维素纳米微晶隔膜的可控制备。
(2) 探索出交联剂、螯合剂在纤维素微晶纳米隔膜制备中界面相容性、结构稳定性等关键制备技术和新方法;揭示纤维素纳米微晶隔膜的界面结构特征及其结构-性能关系。
(3) 预期发表学术论文1-2篇,申请发明专利1-2件。
本研究计划一年完成,以研究内容为主线依次展开,具体安排如下:
2025.1-2025.12年度研究计划
(1) 2025.05-2025.10
采用几种化学处理方法对剑麻纤维进行表面预处理,探索制备剑麻纤维素纳米微晶的方法,优化制备工艺路线及参数,获得较为简便的制备工艺技术。申请发明专利1-2件。
(2) 2025.11-2026.04
不同种类的高性能、多功能耐酸/碱阻燃剑麻纤维素纳米微晶锂离子电池隔膜的合成与表征。探索耐酸、耐碱性及阻燃机理;探索氢键、配位键和化学交联键的形成与破坏及其对离子传输通道的变化。构建相应的界面微结构理论模型。探索最佳工艺技术条件,且使合成路线尽可能的简便,原料来源立足国内。发表学术论文1-2篇。撰写提交研究报告,财务总结等。
本项目是在指导教师工作基础上的继续和深入,指导教师课题组长期从事生物大分子、纳米纤维素材料在全生物膜和全生物基水凝胶电解质方面的研究。特别是近2年来紧密结合地方的资源优势,围绕生物基交联剂交联纤维素复合材料方面进行了大量的理论研究,近3年来指导教师在Nano Lett. Nano Today. Small. ACS Sustainable Chem. Eng. International Journal of Biological Macromolecules等国际知名学术期刊发表论文11余篇,总被引240余次。申请发明专利6余件,目前授权2件。
指导教师课题组在纤维素的制备以及利用纤维素制备生物基膜和水凝胶电解质的机理研究方面获得许多有意义的研究成果,研究表明:采用生物质化学交联的方法可以有效提高生物基膜和水凝胶电解质的自粘附、自修复和力学性能。特别是首次报道了将生物质,如大豆分离蛋白、桃胶和蚕丝纤维等与剑麻纤维素通过分子设计结合,发现生物质材料分子中的功能基团可与羧基化剑麻纤维素纳米微晶结合,使复合材料自粘附、自修复性能得到有效提高。因此,我们具有完成本项目的切实可行的、扎实的前期工作基础。

申请人所依托的单位为桂林理工大学材料科学与工程学院,主要依托纳米、智能高分子与新型储能功能材料实验室和有色金属及材料加工新技术教育部重点实验室。主要依托张作才教师和刘远立教授课题组完成项目指标。实验拥有先进设备,分析仪器完善。主要的仪器设备有:SAXS、WXRD、SEM、AFM、TEM、XPS、NMR、热重−红外联用系统仪、DSC、DMA、光学显微镜、电子万能材料试验机(AG−20I)、锥形量热仪、电化学工作站等,基本满足项目研究所需条件。此外,实验所需的试剂等原料均可国内购买解决。

经费预算

开支科目 预算经费(元) 主要用途 阶段下达经费计划(元)
前半阶段 后半阶段
预算经费总额 10000.00 6000.00 4000.00
1. 业务费 7000.00 4000.00 3000.00
(1)计算、分析、测试费 4000.00 SEM、TEM、XRD、XPS等测试费 2500.00 1500.00
(2)能源动力费 0.00 0.00 0.00
(3)会议、差旅费 600.00 300.00 300.00
(4)文献检索费 0.00 0.00 0.00
(5)论文出版费 2400.00 论文版面费 1200.00 1200.00
2. 仪器设备购置费 0.00 0.00 0.00
3. 实验装置试制费 0.00 0.00 0.00
4. 材料费 3000.00 购买试剂与组装材料等 2000.00 1000.00
结束