详情

电商赋能小农户共同富裕影响机制研究——基于西南民族地区的的实践与探索

申报人:柏佳媚 申报日期:2025-01-06

基本情况

2025年批次
电商赋能小农户共同富裕影响机制研究——基于西南民族地区的的实践与探索 学生申报
创新训练项目
经济学
经济学类
学生来源于教师科研项目选题
一年期
根据商务部中央网信办 发展改革委关于印发《“十四五”电子商务发展规划》的通知,要求电商服务乡村振兴,培育农业农村产业新业态,推动乡村电商与数字乡村相衔接。当下我国西南民族地区就在探索一条发展农村电商的道路。紧靠中共中央国务院关于学习运用“千村示范、万村整治”工程经验有力有效推进乡村全面振兴的意见(2024年1月1日)谋求发展。但是由于西南民族地区地形以山地、丘陵为主,岩溶山地比重大,石漠化现象严重,生态环境脆弱,交通体系不发达,农业生产方式以传统的资源消耗型和粗放经营型为主,自然环境破坏严重,农业生产效率不高。发展农村电商,是创新商业模式、建设农村现代流通体系的重要举措,是转变农业发展方式、带动农民增收的有效抓手,是促进农村消费、满足人民对美好生活向往的有力支撑。在“大国小农”仍是我国的基本国情下,西南民族地区仍以小农户为农业主体,其中90%以上的农户整体素质偏低,发展生态农业动力不足,仍难以进入现代农业发展轨道。其中农村电商的发展脚步越渐缓慢。因此针对此状况,本项目将从电商赋能西南民族地区小农户共同富裕的影响机制探索出一条适合西南民族地区小农户发展的道路。
2024年创新创业训练项目国家级立项(《“漓江逸境,与野为邻”——基于漓江文化与户外露营商业发展协同创新研究》)
2024年创新创业训练项目国家级立项(《新质生产力赋能广西农产品产业体系的内在逻辑与实现路径研究》)
1.2020年《乡村振兴战略下青年职业农民经营能力提升机制与政策》研究省部级重点项目;
2.2021年《乡村振兴战略背景下桂滇黔地区新型职业农民培育机制研究》省级优秀成果三等奖 ;
3.2024年《西南少数民族地区小农户发展生态农业的激励机制研究》已结项研究成果已发表较高水平学术论文 ;
4.2024年《电商赋能中越边境地区小农户共同富裕的实现路径与政策优化研究》项目,研究报告和学术论文写作和投稿中;
5.2024年《电商赋能西南民族地区小农户共同富裕的机制、路径与政策研究》,研究报告和学术论文写作和投稿中 ;
       指导老师根据国家政策对项目的整体思路、研究内容和技术路线进行科学指导,提高整个项目的完整性和可行性,指导整个研究过程,为项目正常进行提供理论和技术支持。
国家级

项目成员

序号 学生 所属学院 专业 年级 项目中的分工 成员类型
柏佳媚 商学院 人力资源管理 2022 设计研究方案,论文撰写
令狐智豪 商学院 人力资源管理 2022 考察调研,材料撰写
闵京玲 数学与统计学院 应用统计学 2022 数据分析、评价指标构建
邵佳诗涵 商学院 国际经济与贸易 2024 数据调查与分析,图表处理
张哲 数学与统计学院 信息与计算科学 2022 数据分析,模型构建

指导教师

序号 教师姓名 所属学院 是否企业导师 教师类型
沈鸿 商学院
潘思伊 校团委、创新创业学院

立项依据

       西南民族地区集中了中国近80%的国家级贫困县和绝大多数贫困人口。截止2024年11月,这些贫困县已经顺利实现脱贫攻坚目标,但仍然存在居民收入、消费水平较低、经济结构落后等现象。因而构建长效的电商赋能西南民族地区小农户共同富裕机制对于缩小西部地区与其它地区之间的不平衡发展的差距有着重要的战略意义。我们希望通过进行电商赋能西南民族地区的评价指标构建,探寻实现区域平衡发展影响机制构建。以期电商赋能西南民族地区小农户共同富裕提供理论支持和政策建议。
       发展农村电商,是创新商业模式、建设农村现代流通体系的重要举措,是转变农业发展方式、带动农民增收的有效抓手,是促进农村消费、满足人民对美好生活向往的有力支撑。根据商务部中央网信办 发展改革委关于印发《“十四五”电子商务发展规划》的通知,要求电商服务乡村振兴,培育农业农村产业新业态,推动乡村电商与数字乡村相衔接。当下我国西南民族地区就在探索一条发展农村电商的道路。紧靠中共中央国务院关于学习运用“千村示范、万村整治”工程经验有力有效推进乡村全面振兴的意见(2024年1月1日)谋求发展。但是由于西南民族地区地形以山地、丘陵为主,岩溶山地比重大,石漠化现象严重,生态环境脆弱,交通体系不发达,农业生产方式以传统的资源消耗型和粗放经营型为主,自然环境破坏严重,农业生产效率不高。庞大的农业剩余人口急需向非农业转移,迈向经济均质化和向一元化经济过渡的步履维艰;乡镇企业发展滞后,且产业在低水平上运行,经济效益提高缓慢;与东部农村经济发展水平的差距越来越大,并呈难以逆转的趋势。
       在“大国小农”仍是我国的基本国情下,西南民族地区仍以小农户为农业主体,其中90%以上的农户整体素质偏低,发展生态农业动力不足,仍难以进入现代农业发展轨道。其中农村电商的发展脚步越渐缓慢。因此针对此状况,本项目将从电商赋能西南民族地区小农户共同富裕的影响机制探索出一条适合西南民族地区小农户发展的道路。

  (三)国内外研究现状和发展动态
      1.西南民族地区小农户共同富裕发展现状
       西南民族地区的发展态势整体向好,具体体现在经济与社会的多个方面。经济层面上,得益于国家西部大开发战略的深入实施,该区域近年来实现了显著的经济增长。2024年前三季度,四川省GDP累计超过4.5万亿元,名义增长率高达4.74%,超越了全国平均水平;重庆市则以2.3万亿元的GDP总量和4.5%的名义增长率,展现出稳健的发展步伐。贵州省亦维持了平稳的增长趋势。相比之下,云南省的经济增速稍显滞后,前三季度的增长率较为缓慢,面临一定的经济挑战。
在社会领域,西南民族地区持续加大对教育、医疗等公共服务的投入,致力于提升民众的生活质量。尽管具体数据因地域和统计时段而异,但整体而言,该地区人民的生活水平在稳步提高,民族团结和社会进步事业也在不断推进。
     2.电商赋能西南民族地区发展现状
       电商正赋能西南民族地区,推动其经济蓬勃发展。数据显示,2024年前八月,四川省网络交易额超3.3万亿元,同比增长6.6%,其中网络零售额增长11%,农村网络零售额增幅达15%。农产品网络零售额也实现两位数增长,展现了电商对农村经济的巨大推动力。成都作为电商核心,网络零售额占比近七成,乐山、绵阳等地亦表现不俗。实物型与服务型网络零售均呈现增长态势,涉及食品、旅游、生活服务等多个领域。同时,凉山州等地完善电商物流体系,提升农产品冷链流通能力,培育电商新业态,助力消费帮扶。电商不仅拓宽了西南民族地区农特产品的销售渠道,还促进了相关产业发展,为当地创造更多就业机会,成为经济发展的新引擎。未来,电商有望在西南民族地区发挥更大作用,推动经济持续繁荣。
     3.国内电商赋能西南民族地区小农户共同富裕文献综述
       李霞(2022)指出农村电商在乡村振兴中扮演了重要角色,优化了农产品市场和农村产业结构,对农业生产方式、经济发展和农民消费习惯产生了深远影响,同时重塑了农村社会结构和秩序。尤其是西南民族地区山地乡镇的产业振兴面临环境、人口、产业基础和文化要素等条件的制约。农村电商被视为突破这些限制、探索产业发展新路径的关键,特别是通过突出地域特色和丰富业态类型。[1]邓鑫磊(2021)乡村产业振兴是中国解决“三农”问题的重要基础,农村电商作为新兴流通方式,对促进乡村产业振兴具有重要作用,尤其是在西南民族地区这样的相对贫困地区。利用统计数据和电商平台数据,构建农村电商发展和乡村产业振兴的测度指标体系,分析发现西南某民族地区的农村电商发展及乡村产业振兴水平较低,但农村电商的准备度和乡村产业振兴的生产体系对综合得分影响显著。[2]李盛龙(2021)认为农村电商扶贫是互联网时代、数字经济时代反贫困的新思维新方式,是新时代精准扶贫的重要内容和扶贫开发战略的变革创新。农村电商扶贫具有发展经济,促进农村产业多元化和产业结构转型升级、创新产业和服务业态,解决返乡创业、就业,促进脱贫富农、提高人口素质等多方面的作用和内生优势。[3]
       由于西南民族地区地理环境,历史传统等因素导致当地农业基础薄弱,产业结构单一,即便有电商的赋能,也很难可持续性发展。
    4.国内西南民族地区小农户共同富裕文献综述
       王晓燕(2022)从分配机制的视角出发,指出了西南少数民族地区实现共同富裕的路径。她提出了通过提升产业竞争力、加强人力资源培训等方式,在初次分配中提升竞争力;国家在再分配中予以适度倾斜,加强基础设施建设、完善社会保障体系、加大教育投入力度;利用慈善捐赠等途径,在第三次分配中加以补充,从而促进西南少数民族地区实现共同富裕。[4]曹颖琦(2021)指出了西南民族地区数字经济发展的重要性和潜力。它强调了数字经济在破解产业转型升级中的“痛点”问题、提高经济发展质量和可持续增长潜力方面的作用。文档提出,西南民族地区应通过发展数字经济,推进数字产业化和产业数字化,以及推动数字经济和实体经济深度融合,来强化社会经济建设。同时,文档还探讨了数字经济的内涵及演变,西南民族地区在数字经济发展中的角色定位和动力机制,并提出了提升路径,包括突破需求层面、要素供给层面和区域产业布局层面的约束。[5]宋鹏(2019)通过分析2008-2018年的数据,文档发现西南地区少数民族自治州的总人口及少数民族人口总数并不是直接影响地区生产总值及其增速的主要因素。眼光独到地指出了西南地区少数民族自治州区域经济发展的现状和特点。同时,文档指出第一、第二产业发展相对均衡,但第三产业在西南少数民族自治州发展迅猛。此外,社会公共建设对农民纯收入影响较大,而农民纯收入与少数民族人口占比、地区生产总值增长速度呈现负相关关系,表明在发展民族区域经济时,需更加关注少数民族地区农民的“获得感”。[6]
5.国外电商赋能区域共同富裕文献综述
       英国和欧盟在推动电商赋能区域经济发展和数字乡村建设方面有着较早的布局。Digital Village Program(数字村庄计划)是一项旨在通过电子商务和数字技术促进农业和农村发展的计划。他在农村的电子商务领域,尤其是促进农村创新、产业结构升级、数字治理、乡村振兴政策示范和经济影响早已起到广泛的作用。20世纪后期,国外的少数发展中国家,伊朗和印度,也开始实施了Rural ICT Center Program,农村信息通信技术中心计划,旨在通过提升农村地区的信息通信技术(ICT)水平,促进区域经济发展,特别是在电商领域。Rural ICT Center Program通过建立信息服务站,使农民能够利用互联网技术获取市场信息、寻找买家,降低交易成本。这有助于农民更高效地销售农产品,提高农产品的附加值。此外,证策还促进了农村产业结构升级,电子商务的发展推动了农村产业结构的优化和升级。农民可以根据市场需求调整生产结构,发展特色农业和优势产业,延长产业链,促进农村经济发展。政策写明,农村电商平台需整合各地区的优势资源,激活乡村旅游业活力,推动农业和旅游业共同发展,实现农村经济多元化增长。
 1.创新点
(1)立足国情,紧靠最新国家政策
       2024年7月18日,中国共产党第二十届中央委员会第三次全体会议通过中共中央关于进一步全面深化改革,推进中国式现代化的决定。《决定》提出,要聚焦提高人民生活品质,完善收入分配和就业制度,健全社会保障体系,增强基本公共服务均衡性和可及性,‌推动人的全面发展、全体人民共同富裕取得更为明显的实质性进展‌‌。在全面建设社会主义现代化国家的背景下,西南少数民族地区农村的小农户共同富裕仍是一个重要议题,推动这些地区的发展,是实现乡村振兴战略和全体人民共同富裕目标的关键一环。[7]2024年03月5日,商务部等9部门联合印发关于推动农村电商高质量发展的实施意见,它指出发展农村电商,是创新商业模式、建设农村现代流通体系的重要举措,要以习近平新时代中国特色社会主义思想为指导,顺应数字经济发展趋势,深入实施数字乡村发展行动,推动农村商贸流通企业转型升级,促进电商与农村一二三产业深度融合,构建农村电商生态圈,畅通城乡经济循环,促进农民增收和农村消费。[8]本研究就电商赋能西南民族地区小农户共同富裕影响机制新路径展开探讨,旨在集成多方协同、多维构建的影响机制理论体系。
   (2)数农兴商,协同治理为西南民族地区共同富裕注入新活力
 ‌      2024年1月,文件名为《中共中央国务院关于学习运用“千村示范、万村整治”工程经验有力有效推进乡村全面振兴的意见》被提出。文件中明确提到要推进县域电商直播基地建设,发展乡村土特产网络销售,以此推动农村电商的高质量发展‌,从而推进农业农村现代化和乡村振兴。[9]而共同富裕影响因素形成的原因主要归结为人才资源缺乏、社会资本缺少和发展动力不足等。中国式现代化,一是全体人民共同富裕的现代化,二是物质文明和精神文明相协调的现代化。‌《中共中央关于进一步全面深化改革、推进中国式现代化的决定》再次强调“完善覆盖农村人口的常态化防止返贫致贫机制,建立农村低收入人口和欠发达地区分层分类帮扶制度”,[10]在如此背景下,发挥有为政府与有效市场联动机制下的内生动力、催化与解决西南民族地区小农户思想与能力不同步问题,有利于及时响应动态的乡村振兴新格局,以巩固前期扶贫成果与实现西南民族地区农村农业持续高质量发展。
(3)针对现存问题构建评价指标体系分析
       为全面评估电商赋能西南民族地区小农户共同富裕的程度,我们构建了一套综合评价指标体系。该体系从电商发展、收入增长、产业提升、社会发展、文化与治理、政策保障六个维度出发。
在电商发展水平方面,从基础设施建设(通过网络覆盖程度、物流配送能力衡量,数据获取途径为网络运营商和物流企业等)和平台应用(包括平台参与度、线上销售规模,数据源于统计资料和小农户销售记录)两个方面考量;小农户收入与财富增长从经济收入(包含农产品销售收入、副业及增值收入,数据来自小农户财务记录和电商平台销售数据等)和资产积累(涉及生产设备更新、家庭储蓄增加,数据依据农户采购记录和银行账户记录等)两个角度分析;产业升级与可持续发展从产业结构优化(以高附加值农产品占比、新型农业经营模式发展评估,数据获取渠道有市场调研和农业部门统计等)和资源环境利用(以绿色生产技术应用、资源循环利用率衡量,数据源于农业技术推广部门和环保部门监测等)两个层面展开;社会发展与生活质量提升从就业创业(以电商相关就业人数、创业带动效应体现,数据可从劳动部门统计等获取)和生活条件(包括居住环境提升、教育与医疗资源可及性,数据通过实地考察和农户反馈等收集)两个维度描述;文化传承与乡村治理从民族文化(从民族文化产品销售、文化传承活动开展评估,数据可从市场销售统计和活动组织记录等获取)和乡村治理(通过乡村组织参与度、邻里关系与社区凝聚力衡量,数据来自组织成员名单和问卷调查等)两个方面阐述;政策保障从政策扶持力度(通过政府补贴与优惠政策、培训与技术指导衡量,数据可从政府财政部门和培训记录等获取)和法律法规保障(以电商交易规范执行、知识产权保护体现,数据可从监管部门和市场监测等获取)两个方面说明。
具体指标如下所示:
summernote-img
       总体而言,各维度下的具体指标通过多种数据收集方式获取,旨在全面、科学地衡量电商赋能西南民族地区小农户共同富裕的状况,为后续的分析和决策提供有力依据,有助于深入了解电商在促进小农户共同富裕过程中的作用及存在的问题,进而推动相关政策的制定和改进,以实现西南民族地区小农户在经济、社会、文化等多方面的可持续发展。
       本文所研究的数据来源于《中国统计年鉴》、《中国科技统计年鉴》等,基于收集到的数据,我们针对电商赋能西南民族地区小农户共同富裕的问题进行以下分析:
summernote-img
                                                                                              图1 三级指标词云图
       词云图通过视觉化的方式展现了多个关键指标的重要性和关联性。核心指标包括网络覆盖程度、物流配送能力、平台参与度等,它们是电商发展的基础。线上销售规模和农产品销售收入直接反映电商的经济效益。副业及增值收入、生产设备更新、家庭储蓄增加等指标则体现了电商对农户经济的积极影响。高附加值农产品占比、新型农业经营模式发展、绿色生产技术应用等指标显示了电商对农业现代化的推动作用。资源循环利用率、电商相关就业人数、创业带动效应等指标则关注电商对社会发展的贡献。居住环境提升、教育与医疗资源可及性、民族文化产品销售等指标反映了电商对提升居民生活质量的影响。乡村组织参与度、邻里关系与社区凝聚力、政府补贴与优惠政策等指标则涉及到电商发展的社会支持和政策环境。最后,培训与技术指导、电商交易规范执行、知识产权保护等指标强调了电商可持续发展的保障措施。整体而言,通过绘制三级指标的词云图,我们可以全面分析电商对农村经济、社会和文化影响。
summernote-img
                                                                                                 图2西藏自治区全指标时序变化图
summernote-img
                                                                                                      图3 西藏自治区全指标雷达图
      我们以西藏自治区为例,探究西南民族地区小农户在电商赋能下的一些关键指标的变化情况。
      1.企业数量(蓝色):从2014年到2022年,企业数量呈现稳定增长的趋势,2022年达到了1509个。这表明电商的发展促进了当地企业的增长。
      2.期末使用计算机数(绿色):计算机的使用数量在这段时间内显著增加,2022年达到了45577台。这反映了电商对提升当地信息化水平的积极作用。
      3.每百人使用计算机数(灰色):这个指标在2022年达到了42台,显示了计算机普及率的提高,有助于缩小数字鸿沟。
      4.企业拥有网站数(浅蓝色):企业拥有网站的数量在2022年为632个,这表明越来越多的企业开始利用互联 网进行业务拓展。
      5.每百家企业拥有网站数(黄色):2022年这个数字为42,说明企业对互联网的依赖程度在增加。
      6.有电子商务交易活动的企业数(橙色):2022年有126家企业参与电子商务交易,这显示了电商在企业中的普及程度。
      7.有电子商务交易活动的企业数比重(红色):2022年这一比重为8.3%,虽然比例不高,但考虑到基数的增长,实际参与电商交易的企业数量在增加。
      8.电子商务销售额(紫色):2022年电子商务销售额达到了174.7亿元,这是一个显著的增长,表明电商对当地经济的贡献在增加。
      9.电子商务采购额(深蓝色):2022年电子商务采购额为33.2亿元,虽然相对较低,但也显示出电商在供应链管理中的作用。
      我们对各项指标分别进行了深入的分析,以便更好地理解电商赋能对西南民族地区小农户共同富裕的影响,以下是各项具体指标的可视化展示。
summernote-img
                                                                                       图4有电子商务交易活动的企业数比重
summernote-img
                                                                                                 图5 每百人使用计算机数
summernote-img
                                                                                     图6 有电子商务交易活动的企业数比重
summernote-img
                                                                                  图7 企业数量与期末使用计算机数同时期对比图
summernote-imgsummernote-img
                                           图8 电子商务销售额                                                                                                          图9 电子商务采购额
summernote-img
                                                                                    图10 电子商务销售额与采购额对比图
      电商赋能对西南民族地区的小农户共同富裕起到了积极作用,通过提高信息化水平、增加企业数量和网站拥有量,促进了当地经济的发展。电子商务交易和销售额的增长表明电商在促进农产品销售、提高农民收入方面发挥了重要作用。
      尽管有电子商务交易活动的企业比重不高,但随着电商基础设施的完善和电商知识的普及,预计这一比重将逐步提高。政府和相关机构可以继续加大对电商培训、技术支持和政策扶持的力度,以进一步推动电商赋能,促进小农户的共同富裕。
2.项目特色
(1)紧密联系西南民族农村地区发展要求和时代特征
      中国式现代化是全体人民共同富裕的现代化,是我们党领导全国各族人民长期艰苦探索奋斗的伟大事业和重大成果,党的二十大报告和党的二十届三中全会都指出完善覆盖农村人口的常态化防止返贫致贫机制,建立农村低收入人口和欠发达地区分层分类帮扶制度。[11]而对于我国西南民族地区,是我国发展过程中长期存在的社会问题、巩固脱贫攻坚成果问题更是重中之重,加强数字基础设施建设,因地制宜制定发展策略,持续关注西南民族地区农村电商的发展,[12]通过政策扶持和资金投入加快发展步伐,赋能乡村产业振兴,以期迈向国家治理进程中的常态化、现代化。
(2)研究方法先进、针对性强
       共同富裕影响因素具有比较性、多维性、发展性、动态变化性、复杂性,存在着多元并发组合的原因变量,在此基础上,西南民族地区小农户发展农村电商还存在着信息不对称、小农户主体局限性、社会化服务体系缺失、产业化水平低、抗风险能力差、同质化严重等局限性,以线性因果关系为基础的定量统计分析方法也很难提供有效的分析结论。而我们采用了已在社会抗争研究、管理学等领域得到广泛运用,能够有效、系统地处理SBM模型、ML指数与Tobit模型结合分析的研究方法,构建电商发展、收入增加、产业提升、社会发展、文化治理、政策保障六维度评价指标体系,探究电商赋能小农户共同富裕的综合发展效率以及显著影响效果,协同配合以达到最优影响机制体系。
(3)理论逻辑严密
       为了探究电商赋能西南民族地区小农户共同富裕的影响机制,项目团队从顶层设计进行全盘布局,这种宏观视角有助于确保政策的全面性和长远性,实用性和指导性十足。项目组进行了广泛的数据收集,从西南民族地区小农户的主体性、动因、行为决策和激励机制等多个角度进行分析,[12]全面剖析了西南民族地区小农户发展农村农业电商的现状和问题,这种多维度的分析方法有助于深入理解问题的复杂性和进一步全面了解西南民族地区小农户发展农村电商的现实困境。此外,项目组进行了多次深入的访谈梳理,以便于揭示问题的深层次原因。成员们还查阅了大量国内外有关相对贫困性质和区域性个体农户共同富裕的影响因素、乡村振兴和农村电商多维指标建构、相对贫困治理路径研究等方面的文献研究,为我们设立电商赋能西南民族地区小农户共同富裕影响机制的研究变量提供坚实的理论依据。
(4)模型构建理论性强
       利用问卷调查数据,运用因子分析,通过对2022年西南民族地区企业数(个)、期末使用计算机数(台)、每百人使用计算机数(台)、企业拥有网站数(个)、每百家企业拥有网站数(个)、有电子商务交易活动的企业数(个)、有电子商务交易活动的企业数比重(%)、电子商务销售额(亿元)、电子商务采购额(亿元)等数据分析反应其电商水平。根据变量相关系数矩阵可知,变量间有较强的相关性,适合进行因子分析。对标准化处理的数据进行因子分析得到如下因子得分系数矩阵表。
       因子得分系数矩阵表
summernote-img
       根据上表可得以下因子得分函数:
       为了进一步进行综合评价,下面将两个公因子各自的方差贡献率除以累计贡献率作为权重来计算综合得分F。
通过计算,可得出下面的因子得分排序表。从表中我们可以看到,四川省的电商发展水平位列第一,表明其电商发展水平在西南民族地区中最高,这可能与四川省良好的电商基础条件、活跃的电商活动以及较高的经济效益有关,其次是重庆,西藏地区的电商发展水平最低,可能与西藏自治区的地理位置、经济发展水平和电商基础设施建设相对滞后有关。
综合得分排序表
summernote-img
                                                                                                图112022年西南民族地区宽带接入用户
       SBM模型和Tobit模型的应用分别从不同角度为评估电商赋能效果提供了有力的理论支持。
       ①SBM模型测度电商赋能后发展效率:
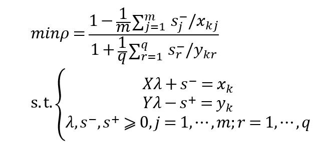
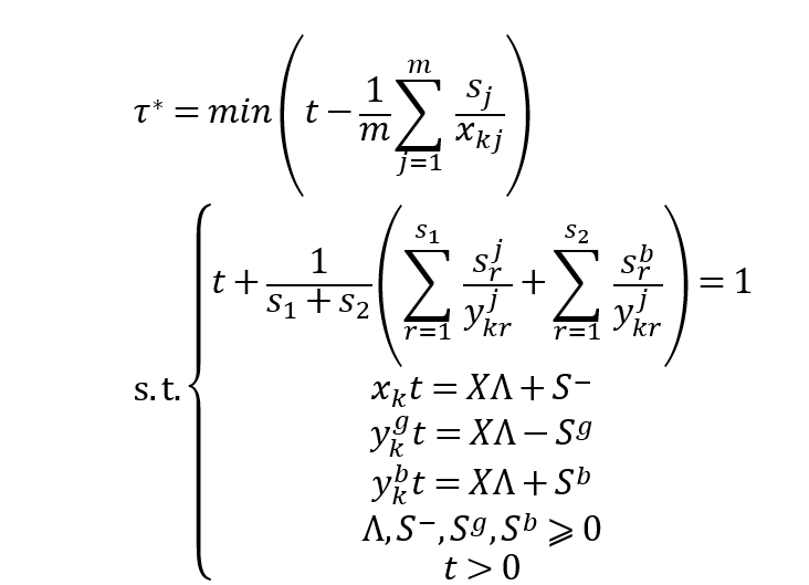
       SBM模型(Slack-BasedMeasure)是⼀种数据包络分析(DEA)的扩展,它允许输⼊和输出的松弛变量,能够区分技术效率和规模效率,从⽽更精确地测量决策单元的效率。SBM模型通过超效率和GML指数(GlobalMalmquistIndex)的结合使⽤,能够测度电商扶贫效率并分析效率的动态演变。我们通过收集⻄南⺠族地区⼩农户在电商融⼊前后的相关数据,构建SBM模型进⾏效率测度。通过对⽐不同⼩农户的效率值,可以识别出⾼效和低效的农户群体,进⽽分析效率差异的原因,为制定针对性的电商赋能策略提供依据。
基本的SBM模型形式为:
summernote-img
        其中,对每个决策单元k = 1 , ⋯   , n.
        目标函数ρ∗表示效率值,该模型同时从投入和产出两个方面考察无效率的表现,故称为非径向模型。由于该模型为非线性模型,将该模型转化为线性模型,同时向模型中加入非期望产出得:
summernote-img
        其中,对每个决策单元k = 1 , ⋯   , n,该模型中包含投入矩阵Xn*m的转置,期望产出矩阵Yn*S1的转置,非期望产出Yn*S2的转置,模型参数主要包括投影变量Λ,松弛变量S-、Sg、Sb、t。
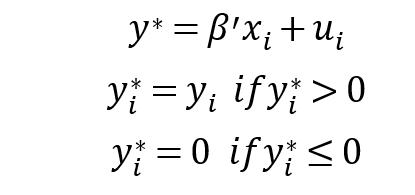
       ②Tobit模型研究电商赋能效果影响因素:
       Tobit模型适⽤于处理受限因变量的回归分析,尤其是当被解释变量受到某些限制时,其能够处理内生性问题,控制其他未观测因素的影响。农户的电商赋能效果(如收⼊提升、销售增⻓等)可能受到多种因素的影响,并且这些因素的作⽤可能并⾮线性关系。Tobit模型能够处理这种受限因变量的情况,并揭示出各因素对农户电商赋能效果的显著影响。
经典的Tobit 模型是James Tobin在分析家庭耐用品的支出情况时对Probit 回归进行的一种推广(Tobit一词源自Tobin’S Probit),其后又被扩展成多种情况,Amemiya将其归纳为Ⅰ型到Ⅴ型Tobit模型。标准的Ⅰ型Tobit回归模型如下:
summernote-img
        式子中,yi*是潜在应变量,潜变量大于0时被观察到,取值为yi,小于等于0时在0处截尾,xi是自变量向量,β是系数向量,误差项ui独立且服从正态分布:ui ~ N(0,σ2)。该模型也可以作如下简化表达:
summernote-img
        表1 2013-2022年西藏自治区各指标拟合值
summernote-img
        我们通过收集⻄南⺠族地区⼩农户的电商赋能效果及其相关影响因素的数据,构建Tobit模型进⾏回归分析。通过模型估计结果,识别出对农户电商赋能效果有显著影响的因素,并分析其作⽤机制。
        综上所述,SBM模型和Tobit模型在电商赋能⻄南⺠族地区⼩农户共同富裕的影响机制研究中具有较强的理论性。SBM模型测度了⼩农户在电商融⼊后的综合发展效率,⽽Tobit模型则分析了影响农户电商赋能效果的各种因素及其作⽤机制,两个模型相辅相成,为制定针对性的电商赋能策略和政策⽀持提供了科学依据,共同构成了严谨的理论框架。 
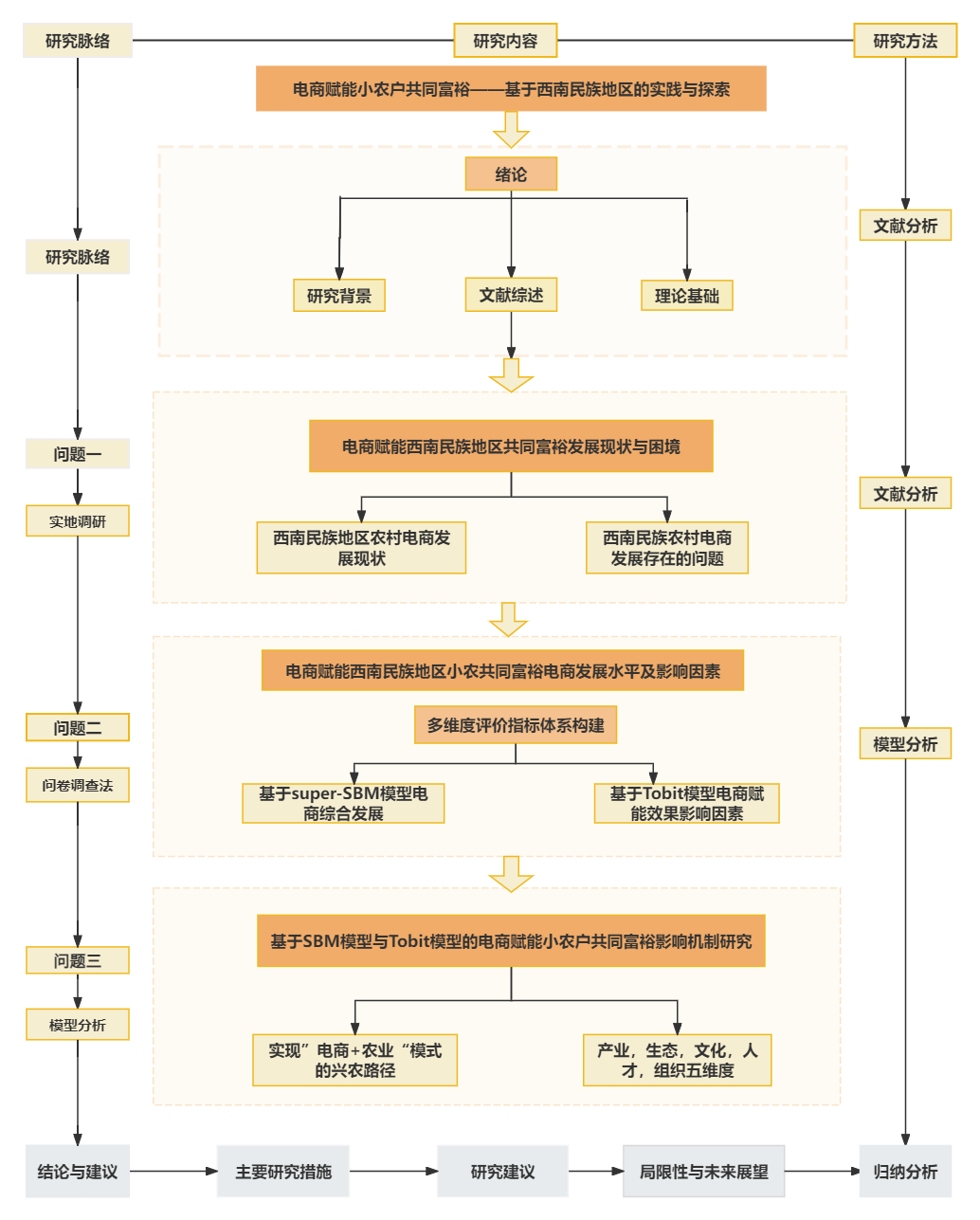
(六)技术路线、拟解决的问题及预期成果
    1.技术路线
summernote-img
    2.拟解决问题
  (1)西南民族地区经济发展不平衡、不充分问题
       中国民族西南地区面临着生态脆弱、贫困和民族文化流失三重问题。西南地区地处中国第一阶梯与第二阶梯 的过渡区域,地形复杂,生态脆弱,自然灾害频发,是典型的生态脆弱区[13]。与此同时,当地居民为了摆脱贫困往往会加大对资源的开发利用,一些不合理的开发加剧了当地的水土流失、石漠化等环境问题,进而陷入了 “环境脆弱一贫困一掠夺资源.环境退化一进一步贫困”恶性循环的“贫困陷阱”中[14]。西南民族地区主要地处云贵高原地带,地势复杂多变,自然环境呈带状变化,导致发展生态农业的难度较大,成本较高,[15]西南民族地区共同富裕亟需探索高质量发展之路。
(2)电商赋能西南民族地区小农户共同富裕影响机制研究
       在党的二十大报告中,基于习近平同志提出的“中国式现代化是全体人民共同富裕的现代化”的大背景下,进一步缩小区域收入和城乡收入差距,解决地区经济发展不平衡、不充分的问题,是实现共同富裕的主攻方向。[16]本研究试图探究出系统化的西南民族地区小农户共同富裕影响机制,复制推广到其他地区,而其他地区依照自身的区域特征,采取合适的调整方式进行应用,促进区域性协调发展,推动全国各区域的高质量发展。
(七)项目研究进度安排
     1.准备阶段(2024年11月-2024年12月)
      继续查阅电商赋能西南民族地区小农户共同富裕的相关资料,并对相关资料进行丰富和整合,同时设计调研问卷以及访谈提纲,确定调研方法和具体的调研地点。
     2.调研阶段(2025年1月-2025年2月)
       选择调研地区以及方向,发布调研问卷,进行深入访谈,查询相关资料,加入相关案例等方式,全面收集关于研究课题的实时数据资料。
     3.数据分析阶段(2025年3月)
       对收集到的相关论文资料进行整合和科学分析,对实地调研数据进行统计和分析,得出调研结果,总结研究结论。
     4.论文撰写阶段(2025年4月-2025年7月)
       根据资料,数据库,论文集,调研及考察结果撰写报告和论文,发表论文。
     5.研究报告和论文定型阶段(2025年7月-2025年9月)
        总结梳理研究成果,完成研究报告和论文整理工作。
     6.结题验收阶段(2025年9月-2025年12月)
        申请课题验收。
   1.与本项目有关的研究积累和已取得的成绩
    指导老师承担科研情况
    1.2020年《乡村振兴战略下青年职业农民经营能力提升机制与政策》研究省部级重点项目
    2.2021年《乡村振兴战略背景下桂滇黔地区新型职业农民培育机制研究》省级优秀成果三等奖
    3.2024年《西南少数民族地区小农户发展生态农业的激励机制研究》已结项研究成果已发表较高水平学术论文
    4.2024年《电商赋能中越边境地区小农户共同富裕的实现路径与政策优化研究》项目,研究报告和学术论文写作和投稿中
    5.2024年《电商赋能西南民族地区小农户共同富裕的机制、路径与政策研究》,研究报告和学术论文写作和投稿中
调研资料丰富
summernote-imgsummernote-img
                                       summernote-img
                                                                                                  图为调研路线与周期
                                                      summernote-img
       summernote-img
                                                                                                图为部分调研资料与过程
                           
相关政策
summernote-img
                                                                                                      图为电商兴农政策
summernote-img
                                                                                                     图为乡村振兴政策
2.已具备的条件,尚缺少的条件及解决方法
   已具备的条件
     (1)团队队伍经验丰富:团队成员对工商管理、人力资源管理、财务分析等有比较丰富的知识储备以及实践经验,为日后对电商赋能西南民族地区小农户共同富裕影响机制研究及分析提供了良好的理论基础。
     (2)指导老师给予大量的帮助,对研究起到引导性作用
     (3)相关政策的大力支持
     (4)发放问卷300份,有效问卷268份,问卷回收率高
    尚缺少的条件及解决方法:
      本项目的调查研究还需进一步深入实地调查,扩大问卷数量及涉及区域,由于样本数量的局限性在一定程度上存在与实际情况有所偏差,且本研究拟定用四分法进行变量赋值,调研精确度对于我们进行研究假设和理论构建有重要影响作用。同时,电商赋能西南民族地区小农户共同富裕影响机制研究尚未有学者进行清楚的解释,需要多研究相关文献,与导师进行讨论分析,加强团队的沟通与协作。

经费预算

开支科目 预算经费(元) 主要用途 阶段下达经费计划(元)
前半阶段 后半阶段
预算经费总额 4000.00 1950.00 2050.00
1. 业务费 3800.00 研究需要 1800.00 2000.00
(1)计算、分析、测试费 0.00 0.00 0.00
(2)能源动力费 0.00 0.00 0.00
(3)会议、差旅费 1800.00 外出调研 1800.00 0.00
(4)文献检索费 0.00 0.00 0.00
(5)论文出版费 2000.00 论文发表 0.00 2000.00
2. 仪器设备购置费 0.00 0.00 0.00
3. 实验装置试制费 0.00 0.00 0.00
4. 材料费 200.00 资料打印 150.00 50.00
结束