详情

光催化三取代丙烯酰胺的选择性合成

申报人:苏淦 申报日期:2025-05-26

基本情况

2025年批次
光催化三取代丙烯酰胺的选择性合成 学生申报
创新训练项目
工学
化工与制药类
学生来源于教师科研项目选题
一年期
本项目基于在光催化反应领域的研究基础,开发了一种无需金属催化剂的光催化合成三取代丙烯酰胺的方法。在可见光条件下,该方法以N-甲基-N-苯基-3-苯基丙炔酰胺为起始材料,有机化合物作为光催化剂来进行实验。
无。
1、国家自然科学基金地区基金项目,22261012,33万,在研,主持;
2、广西科技基地和人才专项, 桂科AD21220105,10万元, 在研, 主持;
3、广西自然科学基金青年科学基金项目, 2022GXNSFBA035472,8万元, 在研, 主持。
指导教师长期从事光化学反应研究,具有丰富的有机合成经验,理论基础知识扎实,能够指导本项目的顺利实施。
区级

项目成员

序号 学生 所属学院 专业 年级 项目中的分工 成员类型
苏淦 化学与生物工程学院 化学工程与工艺(卓越班) 2023 光催化实验
余乐 化学与生物工程学院 能源化学工程(超融合实验班) 2024 合成十羰基二锰类光催化剂
韦文彬 化学与生物工程学院 化学工程与工艺(卓越班) 2023 合成苯胺类化合物
黄秋雯 化学与生物工程学院 能源化学工程(超融合实验班) 2024 合成底物拓展的原料

指导教师

序号 教师姓名 所属学院 是否企业导师 教师类型
滕青湖 化学与生物工程学院
王凯 化学与生物工程学院
张伟颀 化学与生物工程学院

立项依据

本项目拟在可见光照射下,以N-甲基-3-苯基丙炔酰胺为原料,通过对有机光催化剂、反应溶剂、光源以及温度的考察筛选,探索出了一条简洁、高效、绿色的合成三取代丙烯酰胺及其衍生物的途径。
1、原料的制备
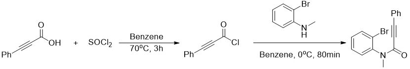
方案一:将苯丙酸(1.25 g, 8.56 mmol)和SOCl2 (0.76 mL, 10.56 mmol)混悬液与无水苯(20 mL)在70 ℃下搅拌3 h。30分钟后,得到清澈的溶液。在真空中除去多余的SOCl2和苯。将含油残渣溶于无水苯(20 mL)中,冷却至0 ℃。在无水苯(9 mL)中加入N-甲基苯胺(0.85 g, 7.9 mmol)溶液,10 min后移出冰浴,室温搅拌80 min。将米色浑浊混合物倒入冰水(40 mL)中,分离有机层,用乙酸乙酯(3×20 mL)提取水层。结合的有机层分别用5% HCl, H2O, 5% Na2CO3,再用H2O (各30 mL)洗涤。干燥(Na2SO4)后,真空除去溶剂,粗产物经柱层析(己烷/乙酸乙酯9:1 ~ 8:2 v/v)纯化,得到白色固体N-甲基-3-苯基丙炔酰胺1a。
summernote-img
方案二:在CH2Cl2(4 mL)中加入N-甲基苯胺溶液(1 mmol,0.11 g),在0 ℃下加入相应的丙酸(1.1 mmol, 0.077 g),在CH2Cl2(0.5 mL)中滴加1.5 equiv的DCC,得到混合物在室温下搅拌,直到TLC显示取代苯胺消耗完全,最后将混合物过滤,用CH2Cl2洗涤,减压蒸馏得到中间体。在N2氛围下,将得到的芳酰化合物中间体(1.2 mmol, 0.3255 g)和炔烃化合物(1 mmol, 0.523 g)溶于三乙胺(2.5 mL)中,磁力搅拌后依次加入PdCl2(PPh3)2 (1 mol%, 0.014 g)和CuI (1 mol%, 0.004 g)在80 ℃下反应3 h,待炔烃化合物反应完全后,过滤,有机相用无水Na2SO4干燥,粗产物经柱层析(己烷/乙酸乙酯9:1 ~ 8:2 v/v)纯化。
summernote-img
2、催化剂的制备
以超干THF (15 mL)作溶剂,在0 ℃氮气气氛下加入NaH (0.60 g, 15 mmol),搅拌30 min后加入四氟二苯腈(0.40 g, 2.00 mmol)。然后将相应的胺溶于超干THF中滴加到反应瓶中,60 ℃反应。通过薄层色谱法(TLC)监测反应。反应完成后,用H2O溶液淬灭。用柱层析法分离得到目标产物,使用这种方法合成了一系列光催化剂。
summernote-img
3、三取代丙烯酰胺的制备
在装有磁子的15 mL石英管中,加入N-甲基-3-苯基丙炔酰胺1a (47 mg, 0.2 mmol)和光催化剂4-DPAIPN (0.0004 mmol, 2 mol %),在氮气气氛下加入N,N-二异丙基乙胺(0.44 mmol, 2.2 equiv)和DMSO (1 mL)。该混合物在380 nm LED照射下以1400 RPM搅拌24 h,反应完成后(由TLC监测),反应混合物经减压浓缩,硅胶(石油醚/乙酸乙酯= 5:1)柱色谱纯化得到三取代丙烯酰胺2a。
summernote-img
4、实验条件筛选
在合成相应原料N-甲基-N-苯基-3-苯基丙炔酰胺(1a)后,我们开始探索反应条件。我们先筛选的是光催化剂,在空气氛围中发现几乎不反应(表1,entry 1)令我们高兴的是,当1a、DIPEA、4CzIPN和MeCN在N2保护下使用两个450-460 nm的蓝光灯照射反应2 h时,其产率为33.9%(表1,entry 2)。我们后续又筛选了有机光催化剂,反应证明它们都能合成产物(entries 3-4),其中,当使用4-DPAIPN为光催化剂时,产率略微提升至35.1% (entry 3)。我们进一步筛选了有机溶剂DMSO,反应证明使用DMSO可以提高产率至73%(entry 5)。
a、反应温度的确定
在筛选完上述条件后,对温度进行了筛选,实验证明,当反应温度升高时,并没有实现提高产率的展望,产率22%(表1,entry 6)。
b、光源的选择
光源是诱导光化学反应发生的先决条件,不同波长的光源能量不一样,所以在不同光源的照射下底物和光催化剂的催化效率也不一样,反应的结果也不同。在筛选光源时尽可能降低温度,发现当温度为30 ℃时,光源为两个380-390 nm的灯照射时产率有所提高(表1,entry 7)。
                                                            表 1 条件优化
summernote-img
序号 催化剂 溶剂 时间/h 产率b
1c 4CzIPN MeCN - Trace
2 4CzIPN MeCN 2 33.9%
3 4-DPAIPN MeCN 2 35.1%
4 Cl-3CzEPAIPN MeCN 2 27%
5 4-DPAIPN DMSO 26 73%
6d 4-DPAIPN DMSO 24 22%
7e 4-DPAIPN DMSO 24 61.2%
a1 (0.1 mmol),催化剂(2 mol %),添加剂(2 eq.)在溶液(1 mL)中,在N2和40 ℃,8 cm远两个25 W蓝灯在照射下反应。b产物产率。c实验是在大气中进行。d反应温度为110 ℃。e反应在65 ℃下进行,催化剂为3 mol%。反应温度为30 ℃,催化剂为4 mol%,在两个380 nm蓝灯照射下。
5、底物适用性考察
在确定最优反应条件后,本项目拟从酰胺苯环上有取代基的底物入手,如下图,探究该方案的底物适用性。
summernote-img
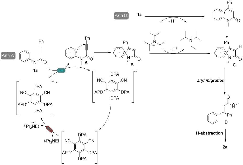
丙烯酰胺,化学式为CR1R2=CHCONR3R4,是一种无色无味的有机小分子,对光线敏感,在紫外线作用下易发生聚合形成聚丙烯酰胺化合物。同时其也是有机合成中的重要基团,存在于蛋白质以及高分子化合物的骨架结构中,因其可以与特定蛋白质的独特半胱氨酸残基发生不可逆的异-迈克尔加成反应形成细胞靶标,使得此类化合物的合成成为药物化学的研究热点[1],因此发展一种简单高效的方法来合成三取代丙烯酰胺具有重要的意义。
传统合成三取代丙烯酰胺的方法中,Wittig-Horner 反应是反应的关键步骤,而它通常产生E/Z异构体的混合物,会根据底物的结构、反应温度、溶剂、催化剂等的变化,E/Z异构体比例也随之变化。在Xiao[2]的合成路线中,化合物5与乙基二乙氧基膦酸乙酸酯的反应主要产生更稳定的顺式中间体9,在顺式形式中,富含电子的羰基氧倾向于向缺电子的吡啶环提供电子,这导致形成更稳定顺式产物6,在经过后续一系列反应后,得到药物分子8。
summernote-img
图 6 Wittig-Horner 反应合成丙烯酰胺
乙烯基硅烷是有机化学中一类重要的有价值的组成部分,广泛应用于有机合成(Hiyama-Denmark偶联、Tamao-Fleming氧化等)、高分子化学和药物,但是末端烯烃C(sp2)制备Z-乙烯基硅烷的H键在合成化学中仍然是一个巨大的挑战。张[3]课题组描述了一种高效的钯催化C(sp2)–H硅烷化在温和条件下立体选择性合成Z-乙烯基硅烷,该方法为从简单的起始材料快速合成Z-立体选择性乙烯基硅烷提供了一种实用且环保的策略。他们推测磷酸盐可能促进钯与Pd-Si中间体的解离,以加速催化剂的周转,因此他们采用20 mol%的 (BnO)2PO2H作为磷酸盐,利用环境无害的1,4-苯醌(BQ)作为非金属氧化剂取代化学计量的金属氧化剂,在Pd(OAc)2的催化下合成乙烯基硅烷。该策略为Z-乙烯基硅烷的独家合成提供了区域和立体选择性方案,具有合理到优异的产率和良好的官能团相容性。
summernote-img
图 7 钯催化合成乙烯基硅烷
2010年,Tsuji[4]首次开发了一种新型钯催化系统,利用钯配合物将甲酰胺分子间加成到炔烃中的方法。甲酰胺与炔烃在钯催化下反应,以酰氯为添加剂,提高(E)-α,β-不饱和酰胺的立体选择性。该催化剂体系实现了在末端炔烃中加入甲酰胺,得到相应的带有末端亚甲基部分的α,β不饱和酰胺作为主要产物,广泛适用于具有各种功能的底物。该方法也可用于N,N-二取代甲酰胺与降冰片烯的反应,以83%产率得到相应产物。
summernote-img
图 8 钯催化合成丙烯酰胺
基于已有的实验数据和前人的相关工作,下图显示了可能的催化循环。通过与 HCl 反应原位生成Pd−H 物质 (A)可能是关键的催化中间体。炔烃(22)与A反应得到烯基Pd中间体(B)(step 1)。然后,可以插入甲酰胺的 C=O 键以形成相应的烷氧基钯中间体 (C)。最后,C继续反应得到所需的产物(23),并且Pd−H物质(A)再生(step3)。或者,可能涉及甲酰基 C−H 键的氧化加成得到 Pd(IV) 中间体 (D) 的循环。从D中还原消除可以提供23,Pd−H物种(A)将再生(cycle II)。
summernote-img
图 9 钯催化合成丙烯酰胺循环
2016年,Ming[5]等人报道了以苯乙烯(化合物24)和胺类化合物(化合物25)为原料,在140 oC的CO气氛下,以CsOAc为碱,3,2-甲氧基苯基做配体,来验证Pd(PPh3)4和Pd(OAc)2对反应的催化效率,结果证明,Pd(OAc)2是最佳催化剂选择,反应延长至48小时,产品的产率提高到70%。但是这种方法中使用的多取代烯基底物几乎与产物一样复杂,这些多取代烯基底物通常不容易有选择地制备,对合成多取代丙烯酰胺具有一定的限制。
summernote-img
图 10 苯乙烯和胺类反应合成丙烯酰胺
2019年,Russell[6]等人报道了一种制备空气稳定型二氟硼基丙烯酰胺的方法。与普遍存在的有机三氟硼酸盐相比,二氟硼酸丙烯酰胺是非极性的,在交叉偶联反应中,二氟硼基丙烯酰胺底物可提供相应的三取代丙烯酰胺,产率良好。在他们的研究中用(E)-β-硼基丙烯酰胺(化合物27)和KHF2在醋酸中的高效地合成了二氟硼酸丙烯酰胺。接下来,他们将注意力转向交叉偶联反应中二氟硼基丙烯酰胺的反应活性。实验结果表明,在标准的Suzuki - Miyaura交叉偶联条件下,二氟硼基丙烯酰胺可以作为有效的底物与各种富电子和缺电子的芳基溴进行交叉偶联反应,得到相应的三取代丙烯酰胺(化合物29)。
summernote-img
图 11 二氟硼基酰胺交叉偶联合成三取代丙烯酰胺
与各种酮体去饱和方法相比,酰胺的去饱和化更加困难,主要是由于它们的 α-C-H 键的酸度降低。这些去饱和化方法通常依赖于引入α-离去基团,例如卤素、硫、硒衍生物或者TEMPO基团,然后进行消除步骤。虽然这些方法被广泛使用,但需要多个步骤或使用强碱。在此,为实现内酰胺类β-C-C键形成反应目标,Chen[7]等人公开了一种在酸性条件下去饱和合成酰胺的直接方法。这种方法可以在室温下连续操作。该研究以δ-戊丙酰胺作为原料,氧化硫为配体,1,4-二恶烷为溶剂,经过优化后,所需的α,β-不饱和内酰胺通过硼烯醇中间体在室温下以94%的收率获得。这种去饱和方案也可以应用于链状结构,在标准条件下可以得到50%~70%产率的戊唑烷酮衍生的酰胺。
summernote-img
图 12 酸性条件下去饱和N2-保护合成丙烯酰胺
参考文献
[1]冯波, 滕大为, 曹国锐, α,β-不饱和酰胺的合成研究进展,化学通报, 2023, 86, 978-979.
[2]Gopalaiah, K., Kagan, H. B. Use of Nonfunctionalized Enamides and Enecarbamates in Asymmetric Synthesis, Chem. Rev. 2011, 111, 4599-4657.
[3]Courant, T., Dagousset, G. Masson, G.Enamide Derivatives:Versatie Building Blocks for Total Synthesis, Nat. Synth. 2015, 47, 1799-1856.
[4]Song, Z., Lu, T., et al. Stereoselective Simmons-Smith Cyclopropanation of Chiral Enamides. Angew. Chem., Int. Ed. 2007, 46, 4069-4072.
[5]Alix, A., Lalli, C., et al. Highly Enaatioselective Electrophilic α-Bromination of Enecarbamates:Chiral Phosphoric Acid and Calcium Phosphate Salt Catalysts. J. Am. Chem. Soc. 2012, 134, 10389-10392.
[6]Movassaghi, M., Hill, M. D.Synthesis of Substituted Pyridine Derivativas via the Ruthenium-Catalyzed Cycloisomerization of 3-Azadienynes. J. Am. Chem. Soc. 2006, 128, 4592-4593.
[7]Terada, M., Machioka, K., Sorimachi, K.High Substrate/Catalysis by a Chiral Bronsted Acid for an Enantioselective Aza-Ene-Type Reaction. Angew. Chem., Int. Ed. 2006, 45, 2254-2257.
[8]Bai, X. - Y., Wang, Z. - X., et al. Iridium-Catalyzed Enantioselective Hydroalkynylation of Enamides for the Synthesis of Homopropargyl Amides. Angew. Chem., Int. Ed. 2016, 55, 9007-9011.
[9]Daniel, K., Whelligan, Douglas W., et al.Palladium-Catalyzed Intramolecular Amidation of C(sp2)-H Bonds:Synthesis of 4-Aryl-2-quinolinones. J. Org. Chem. 2010, 75, 3900-3903.
[10]Xiao Y. - M., Yang X. - L., et al. Design,Synthesis and Antifungal/Insecticidal Evaluation of Novel Cinnamide Derivatives. Molecules. 2011, 16, 8945-8957.
[11]Wright, S., Petraitis, J., et al. 2,5-Diarylisothiazolone:novel inhibitors of cytokine-induced cartilage destruction. Bioorg. Med. Chem. 1996, 4, 851-858.
[12]Gorsuch, S., Bavetsias, V., et al. Synthesis of isothiazol-3-one derivatives as inhibitors of histone acetytransferases. Bioorg. Med. Chem. 2009, 17, 467- 474.
[13]Chen M. - Y., Xavier P., et al. Access to Isothiazolones from Simple Acrylamides by Pd-Catalazed C-H Bond Activation. Org. Chem. 2019, 84, 13194–13202.
[14]Xiao Y. - M., Yang X. - L., et al.Design,Synthesis and Antifungal/Insecticidal Evaluation of Novel Cinnamide Derivatives. Molecules. 2011, 16, 8945-8957.
[15]Pan J. - L., Chen C., et al. Synthesis of Quinolinones with Palladium-Catalyzed Oxidative Annulation between Acrylamides and Arynes. J. Org. Chem. 2015, 80, 2835-2841.
[16]Markus, W., Upert, G., et al. Palladium-Catalyzed Intermolecular Addition of Formamides to Alkynes. J. Am. Chem. Soc. 2010, 132, 2094-2098.
[17]Li, M., Li, S. - X., Chen, D, - P., et al. Regioselective C-H Active Carbonylation via 1,4-Palladium Migration. Org. Lett. 2023, 25, 2761-2766.
[18]Russell, G., Fritzemeier., Eric, J., et al. Route to Air and Moisture Stable β-Difluoroboryl Acrylamides. Org. Lett. 2019, 21, 8053-8057.
[19]Lies, L., Lsomura, M., et al. Direct Catalytic Desaturation of Lactams Enable by Soft Enolization. J. Am. Chem. Soc. 2017, 139, 7757-7760.
[20]Wu, Y., Zhang, L. - Q., et al. Iridium-Catalyzed Aerobic α,β-Dehydrogenation of Unsaturated Amides and Acids: Activation of Both α- and β- C-H bonds through an Allyl-Iridium Intermediate. J. Am. Chem. Soc. 2018, 140, 735-740.
[21]Chen, M., Dong, G. - B. Copper-Catalyzed Desaturation of Lactones, Lactams, and Ketones under pH-Neutral Conditions. J. Am. Chem. Soc. 2019, 141, 14889-14897.
[22]Duan, X. - L., Zheng, N., et al. Copper-Catalyzed Z-selective Synthesis of Acrylamides and Polyacrylamides via Alkylidene Ketenimines. Nat. Commun., 2022, 13, 4362.
[23]Yuan, Y., Zhao, F. - Q., Wu, X. - F. Copper-catalyzed Enantioselective Carbonylation toward α-Chiral Secondary Amides. Chem. Sci., 2021, 12(38), 12676-12681.
[24]Joanna, D., Nimphius, C., et al. Visible Light Photoredox Catalysis with Transition Metal Complexes: Application in Organic Synthesis. Chem. Rev. 2013, 113, 5322−5363.
[25]Yang, X., Wei, W., Li, H., et al. Oxidative Coupling of Alkenes with Amides using Peroxides: Selective Amide C(sp3)-H Versus C(sp2)-H Functionalization. Chem. Commun. 2014, 50, 12867.
[26]Raymond, J., Cvetovich., et al. Formation of Acrylanilides, Acrylamides, and Amides Directly from Carboxylic Acids Using Thionyl Chloride in Dimethylacetamide in the Absence of Bases. Org. Process Res. Dev. 2006, 10, 944-946.
[27]Ding R. - B., Li Yun., et al. Stereoselective Synthesis of(2Z)-2,4-Dienamides via NBS-Mediated Allyloxyl Addition-Claisen Rearrangement-Dehydrobromination Cascade Reation of Ynsulfonamides. Org. Lett. 2015, 17, 3994–3997.
[28]Santanu, G., Chandan, k., Jana. Aminofluorene-Mediated Biomimetic Domino Amination-Oxygenation of Aldehydes to Amides. Org. Lett. 2016, 18, 5788-5791.
[29]Tebben, L., Prof, D., Studer. Nitroxides: Applications in Synthesis and in Polymer Chemistry. Angew. Chem., Int. Ed. 2011, 50, 5034.
[30]Barham, J. P., Coulthard, G., et al. KOtBU: A Privileged Reagent for Electron Transfer Reactions. J. Am. Chem. Soc. 2016, 138, 7402.
[31]Yang, S., Fan, H. - K., et al. Photoinduced Desaturation of Amides by Palladium Catalysis. Org. Lett. 2022, 24, 6460-6465.
[32]Yu, W. - L., Ren, Z. - G., et al. Cobalt-Catalyzed Chemoselective Dehydrogenation Through Radical Translation Under Visible Light. Chem. Sci., 2022, 13, 7947-7954.
[33]Lu, M. - J., Lin, Z. - W., et al. Visible-Light-Enable Oxidative Coupling of Alkenes with Dialkylformamides To Access Unsaturated Amides. Org. Lett. 2019, 21, 9929-9933.
[34]Luo, J., Zhang, J. Donor-Acceptor Fluorophores for Visible-Light-Promoted Organic Synthesis: Photoredox/Ni Dual Catalytic C(sp3)-C(sp2) Cross-Coupling. ACS Catal., 2016, 6, 873-877.
[35]Singh, A., Singh, K., Weaver, et al. Erratum:Proton Solvation in Protic and Aprotic Solvent. J. Chem., 2015, 776, 51-59.
在光照条件下,利用DIPEA和原料本身的性质,通过控制溶剂、光催化剂从而实现三取代和四取代丙烯酰胺的定向合成是十分有意义的。已报道的合成三取代丙烯酰胺文献大多采用贵价金属催化剂,在合成骨架较大的三取代丙烯酰胺过程中大多需要其他添加剂以及诱导剂,且容易出现顺反异构现象,本研究采用有机光催化剂,利用N-甲基N-苯基-3-苯基丙炔酰胺自身空间较大的优势,在光照条件下制备三取代丙烯酰胺。
1、技术路线
summernote-img
2、拟解决的问题
已报道的合成三取代丙烯酰胺文献大多采用贵价金属催化剂,在合成骨架较大的三取代丙烯酰胺过程中大多需要其他添加剂以及诱导剂,且容易出现顺反异构现象。因此,我们开发了一种以4DPAIPN为催化剂,N,N-二异丙基乙胺(DIPEA)为添加剂,DMSO为溶剂,反应温度为30 oC,在氮气气氛下成功实现了光催化合成三取代丙烯酰胺的方法。该方法不需要使用化学计量的偶联试剂,也不依赖导向基团(DG),底物适用范围广。该策略为合成三取代丙烯酰胺提供了一个新的研究思路。
3、预期成果
(1) 以4DPAIPN为催化剂,N,N-二异丙基乙胺(DIPEA)为添加剂,DMSO为溶剂,反应温度为30 oC,在氮气气氛下成功实现了光催化合成三取代丙烯酰胺.
(2) 在国内外有影响力的化学和药物化学期刊上发表高水平SCI论文1-2篇或申请 1-2 项国家发明专利。
前期安排(2024.4-2024.5)
查阅相关文献并阅读,掌握合成光催化剂和有机合成的操作技能,培养实验动手能力,设计实验方案等。
中期安排(2025.6-2025.11)
利用以4DPAIPN为催化剂,N,N-二异丙基乙胺(DIPEA)为添加剂,DMSO为溶剂,反应温度为30 oC,在氮气气氛下成功实现了光催化合成三取代丙烯酰胺,在最优条件下合成目标化合物,争取获得优异产率,并利用核磁、质谱、红外等手段表征其结构,通过控制实验研究其反应机理。
后期安排(2025.12-2026.4)
根据以上的研究,收集和完善数据(包括红外、核磁、质谱等数据),撰写论文1-2篇或申请发明专利1-2项。
将所有实验数据整理归纳,处理数据,做图表以及准备相关结题材料,并按时完成相关材料的上交。
1.与本项目有关的研究积累和已取得的成绩
本项目是基于传统合成三取代丙烯酰胺的方法中,Wittig-Horner反应,和无过渡金属催化合成三取代丙烯酰胺提出的。给出了试验方案:在装有磁子的15 mL石英管中,加入N-甲基-3-苯基丙炔酰胺1a (47 mg, 0.2 mmol)和光催化剂4-DPAIPN (0.0004 mmol, 2 mol %),在氮气气氛下加入N,N-二异丙基乙胺(0.44 mmol, 2.2 equiv)和DMSO (1 mL)。该混合物在380 nm LED照射下以1400 RPM搅拌24 h,反应完成后(由TLC监测),反应混合物经减压浓缩,硅胶(石油醚/乙酸乙酯= 5:1)柱色谱纯化得到三取代丙烯酰胺2a。
因此,本课题的设计、研究方案等是切实可行的,具有可操作性。这些前期探索性的工作为本项目的实施奠定了坚实的基础。
summernote-img
N-Methyl-3,3-diphenylacrylamide (2a)[2]:
按照一般程序,在硅胶柱层析(洗脱液:石油醚/乙酸乙酯= 5:1, v/v)上得到化合物2a 35.8 mg,得率71%,白色固体。1H NMR (500 MHz, CDCl3) δ 7.41 (d, J = 6.3 Hz, 3H), 7.31 (d, J = 6.8 Hz, 3H), 7.28 – 7.23 (m, 4H), 6.37 (s, 1H), 5.32 – 5.22 (m, 1H), 2.63 (d, J = 4.9 Hz, 3H) ppm. 13C{1H} NMR (125 MHz, CDCl3) δ 167.3, 149.5, 140.8, 138.4, 129.3, 128.8, 128.54, 128.50, 128.3, 127.9, 122.4, 26.2, ppm. HRMS (ESI-TOF) [M+H]+ calcd. for C16H15NO 238.1226; found 238.1234.

化合物2a的核磁氢谱和碳谱如下:
summernote-img
summernote-img
项目依托单位桂林理工大学广西电磁化学功能物质重点实验室,设有配备齐全的无机配位化学和有机光化学合成实验室。拥有500 MHz 核磁共振仪、高分辨质谱仪、液相色谱-质谱联用仪、元素分析仪、X-射线单晶衍射仪、红外光谱仪、气相色谱-质谱联用仪、共聚焦显微镜、荧光定量PCR 仪等大型仪器设备;购买了诸如全文数据库(如:RSC、ACS、Wiley-Blackwell、Elsevier、Springer 和Taylor-Francis)等文献检索资源;有各类化学专业图书。依托单位具备了本项目实施过程中所需要的相关软硬件条件。

经费预算

开支科目 预算经费(元) 主要用途 阶段下达经费计划(元)
前半阶段 后半阶段
预算经费总额 10000.00 4000.00 6000.00
1. 业务费 7000.00 2500.00 4500.00
(1)计算、分析、测试费 5000.00 核磁、质谱、红外测试 2500.00 2500.00
(2)能源动力费 0.00 0.00 0.00
(3)会议、差旅费 0.00 0.00 0.00
(4)文献检索费 0.00 0.00 0.00
(5)论文出版费 2000.00 论文版面费、专利申请费 0.00 2000.00
2. 仪器设备购置费 0.00 0.00 0.00
3. 实验装置试制费 0.00 0.00 0.00
4. 材料费 3000.00 所需试剂购买 1500.00 1500.00
结束